行業資訊
公路平面線形及曲線要素
十二五期間,國家經濟發展有了新的目標和方向,公路作為重要的基礎設施建設,因能帶動地方經濟發展的需要,持續被重視和發展。隨著科技水平及人民生活水平的不斷提高,“以人為本”的理念在經濟建設和城市公路發展中的地位日益突出,人們對公路的要求越來越高,不僅要求它具有安全性、舒適性、便捷性等實用功能,還要求它具有美觀性、環保性、協調性等能滿足人們心理需要的精神功能。
公路線形是公路的骨架,直接承載著車輛的運行,它控制著整個公路的路基、橋涵、交叉、沿線設施等構造物的規模和投資。同時對汽車行駛的安全、舒適、經濟和道路的通行能力起著決定性作用。公路線形建成后將長期存在、無論好壞都很難改變。因此,做為設計者應特別重視線形設計質量,任何一個不安全的因素或不良的組合設計,都將造成駕駛員視覺上的判斷失誤或心理效應上的不良反應,都可能形成交通安全隱患。
所謂設計即為設計者將各種因素綜合進行考慮,創造性地進行“各種技術指標的組合,公路平面線形的設計應具有創造性和靈活性。
1、路線平面線形選擇
路線平面線形通常是由直線、圓曲線和緩和曲線三種基本線形要素組合而成,其中直線是采用較多的線形,它具有最直接、方向最明確、易于布設等特點,然而直線線形缺乏靈活性,難以適應地形、地物,不易與周圍的景觀相協調,因而在應用上會受到限制。而且直線過長時。易造成車速過快,易使駕駛者感到疲勞犯困,使駕駛者目測車距容易產生誤差而引發事故;因此長直線設計應該慎重。采用直線線形時,應根據路線所處的地形、地貌、地物,并考慮駕駛者的視覺心理狀態等合理布設。當地形條件及其它特殊情況限制而采用長直線時,為彌補長直線路段景觀單調缺陷,應結合沿線具體情況采取相應的技術措施。
以曲線為主的道路,要求駕駛者必須經常移動注意點來進行駕駛操作,同時車輛在沿著彎道行駛時,展現在駕駛者前面的是經常變化著的自然景色,顯的更加有趣和多樣化。國外如日本、德國等一些發達國家,強調高速公路線形以曲線為主的新理念。從國內近年來設計的高速公路分析,以曲線為主的設計方法也正在被更多的采用。實踐證明,曲線線形舒順流暢、平縱線形配合優美,能較好的適應地表、地物變化,具有柔和的幾何形態,更符合駕乘人員的心理。
同樣的線形在不同的環境中給人的感覺不同。調查發現,由于線形與周圍景觀的不良配合,會給駕駛者造成精神壓力或因錯覺引發交通事故。線形與環境景觀的協調設計首先要考慮交通安全。在山嶺區以曲線為主的平面設計是較為理想的,也容易做到。在平原區,以曲線為主的平面設計應是方向,但在平原微丘區,一般都有規整的農田以及地方路網,適當的采用直線,避免對原有規劃的農田水利網及道路網進行不必要的切割和破壞,影響其使用功能。直線和曲線都有各自的優缺點,很難單一的評論優劣。采用何種線形,主要取決于路線與地形及周圍環境相適應的程度,以及平縱線形配合的情況。高速公路線形設計還要注意平面與縱面線形的配合。
2、曲線要素的運用
通常“直線、圓曲線、緩和曲線”被稱為平曲線的三要素。曲率為零的線形——直線;曲率為常數的線形——圓曲線;曲率為變數的線形——緩和曲線。
2.1直線的運用
直線在以往的公路設計中是最主要的設計線形,尤其在地形、地勢平坦的地帶采用更多。長直線會使駕駛員感到單調乏味,容易造成車速過高,當在發現有障礙物(包括過路行人、車輛)或小半徑曲線的急轉彎路段時,往往不能及時剎車制動而發生車禍;另外直線不易適應復雜地形,也不易與周圍自然景觀很好地融合,不易保證道路線形的連續性,從而影響駕駛員和心理感受,造成判斷上的誤差,影響汽車的行駛安全性和運行速度。
2.1.1直線線形的特點:
① 路線短捷、行車方向明確、視距良好、行車快速、駕駛操作簡單。
② 線形簡單,容易測設。
③ 直線路段能提供較好的超車條件(所以雙車道的公路間隔適當處要設置一定長度的直線)。
④ 從行車的安全和線形美觀來看:過長的直線,線形呆板,行車單調,易疲勞;也易發生超車和超速行駛,行車時司機難以估計車間距離;在直線上夜間對向行車易產生眩光。
⑤ 只能滿足兩個控制點的要求,難與地形及周圍環境相協調。
2.1.2直線最大長度的標準規定:
總體原則:公路線形應與地形相適應,與景觀相協調,直線的最大長度應有所限制,當采用長的直線線形時,為彌補景觀單調的缺陷,應結合具體情況采取相應的技術措施。
經分析國外的實例發現,德國最大直線長度是20V、前蘇聯是8km、美國是3mile。
2.1.3采用長的直線線形時,應注意的問題:
① 長直線上縱坡不宜過大,因長直線再加下陡坡行駛更易導致高速行駛。
② 長直線與大半徑凹形豎曲線組合為宜,可以使生硬呆板的直線得到一些緩和。
③ 兩側地形過于空曠時,宜采取種植不同樹種或設置一定建筑物、 雕塑、廣告牌等措施,改善單調的景觀。
④ 長直線或長下坡盡頭的平曲線必須采取設置標志、增加路面抗滑能力等安全措施。

① 同向曲線間的直線最小長度存在如下弊端:
a、早期的低等級公路設計,當不設置緩和曲線時,如果兩同向圓曲線之間直線較短,超高緩和及其銜接比較困難。
斷背曲線:互相通視的同向曲線間若插以短直線,容易產生把直線和兩端的曲線看成為反向曲線的錯覺,當直線過短時甚至把兩個曲線看成是一個曲線,這種線形破壞了線形的連續性,且容易造成駕駛操作的失誤,通常稱為斷背曲線。設計中應盡量避免。如圖所示:

② 當受條件限制,需在兩同向圓曲線間設置小于6v的直線段時,可采取一些改善措施,如:
a、在滿足行車視距的前提下,采取借用曲線內側山丘地形或人工種植遮擋性樹木等手段,避免兩曲線和中間直線同時全部進入駕駛人視野。
b、中間直線段上盡量避免設置凹型豎曲線,以避免反彎錯覺的加劇。
③ 反向曲線間的直線最小長度
反向曲線間設置直線的優點是為駕駛人反向操作提供了緩和區段,其缺點是破壞了線形的連續、均衡、美觀。一般地,當運行速度較高、兩曲線指標差別較大時應盡量設置不小于2v的直線段;當兩平曲線指標比較均衡、運行速度不高時可徑向銜接;當兩反向平曲線布設緩和曲線時,中間應設置不小于2v并滿足超高緩和的直線段。
2.2.1圓曲線特點
① 曲線上任意一點的曲率半徑R=常數,故測設比緩和曲線簡便。
③ 視距條件差,容易發生交通事故。
④ 較大半徑的長緩圓曲線具有線形美觀、順適、行車舒適等特點。故常采用。
2.2.2 影響因素
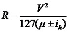
汽車在曲線上行駛時,橫向穩定性是考慮的主要因素,橫向穩定包括側翻、側滑以及乘客舒適程度等,影響汽車橫向穩定性的主要指標為運行速度、圓曲線半徑和超高橫坡值,相關關系的計算公式為:

研究資料表明,汽車在曲線上行駛時,橫向力系數與乘客感覺的關系如下:
u<0.10時,不感到有曲線存在,很平穩;
u=0.15時,略感到有曲線存在,但尚平穩;
u=0.20時,已感到有曲線存在,并感到不平穩;
u=0.35時,感到有曲線存在,并感到不平穩;
u>0.4時,非常不穩定,站不住,有傾倒的危險。
②能源消耗
研究資料表明,與在直線上行車相比
u=0.10:燃料消耗增加10%,輪胎磨耗增加1.2倍;
u=0.15:燃料消耗增加15%,輪胎磨耗增加2.0倍;
u=0.20:燃料消耗增加20%,輪胎磨耗增加2.9倍。從行車安全角度考慮,對于高速公路,橫向力系數不應超過0.15;對于低等級公路,橫向力系數不應超過0.20。
2.2.3 最小半徑確定
①極限最小半徑
按上述公式計算出極限最小半徑和規范中給定的極限最小半徑對比表如下:



其它車輛運行,可不設緩和曲線。一般情況下,該內移值可取0.2m,內移值的計算公式為: △R=A4/24·R3

對于“極限最小半徑”“一般最小半徑”在前面已經做了詳細論述,在此著重描述“安全適用半徑”、“最大半徑”。
①安全適用半徑
在沒有特殊的建設條件限制時,采用多大的半徑較為合適?這個問題很難給出明確的數據,因為即使建設條件屬于“一般”情況,也有平原、丘陵、山嶺等不同地貌的差別,另外還有不同的縱面要素組合,不應孤立地評價一個曲線,而應綜合考慮前后線形的連續均衡,具體視情況而定。
如果將規范中提出的“一般最小半徑”作為一般情況下設計應采用的半徑值,則往往半徑偏小主要因為計算該值取用的超高值偏大,作為一般情況下推薦設計采用的半徑,可按2%超高(也有觀點提出2%~4%超高)對應的半徑選用,見表如下:

因此,平曲線半徑超高7000m的意義不大。
2.2.5平曲線長度
① 最小平曲線長度
規范中規定最小平曲線長度取2倍最小緩和曲線長,這是考慮凸型線的極端情況。一般情況下,特別是高速公路設計,很少采用凸型線,如果考慮不小于3S行程的圓曲線長度,平曲線的極限長度采用3倍最小緩和曲線長度較合適,見下表:

②最大平曲線長度
較長平曲線有以下缺點:線形過于彎曲,增加了路線繞行里程和總體線形美觀性差;較長的平曲線不利于平縱組合的搭配,建議采用能更好配合縱面設計的多個不同曲線半徑和曲線長度的平曲線;較長的平曲線如果半徑過大,則與長直線一樣,會引起駕駛人單調、疲勞、注意力渙散不利于安全行車。
③適宜的平曲線長度
平曲線半徑和長度不是孤立的指標,應綜合考慮前后銜接路段的指標、縱面設計情況等多種影響因素后確定。對于高速公路,一般而言,采用1~2km曲線長度比較合適。
2.3 緩和曲線的運用
緩和曲線分為三種線型:回旋曲線、三次拋物線、雙紐曲線,常用的是回旋曲線。
緩和曲線是指在直線與圓曲線之間或者半徑相差較大的兩個轉向相同圓曲線之間設置的一種曲率連續變化的曲線。
2.3.1緩和曲線的特性
① 緩和曲線曲率漸變,設于直線與圓曲線間,其線形符合汽車轉彎時的行車軌跡,從而使線形緩和,消除了曲率突變點。
②由于曲率漸變,使道路線形順適美觀,有良好的視覺效果和心理作用感。
③在直線和圓曲線間加入緩和曲線后,使平面線形更為靈活,線形自由度提高,更能與地形、地物及環境相適應、協調、配合,使平面布線更加靈活、經濟、合理。
④與圓曲線相比,緩和曲線計算及測設均較復雜。

①曲率連續變化,視覺效果好。(線形緩和)


2.3.3緩和曲線的選擇
①緩和曲線軌跡特點:由直線駛入圓曲線
轉彎時,其軌跡上的任一點的曲率半徑與其行程(自轉彎開始點算起)成反比,此軌跡方程為回旋曲線方程。因此我國《標準》規定緩和曲線采用回旋曲線。
②回旋曲線、三次拋物線和雙紐線線形比較:

b、隨著極角的增加,三次拋物線的長度比雙紐線的長度增加的較快,而雙紐線的長度又比回旋線的長度增加得快些。
c、回旋線的半徑減小得最快,而三次拋物線則減小的最慢。從保證汽車平順過渡的角度看,三種曲線都可以作為緩和曲線。
d、此外,也有使用n次(n≥3)拋物線、正弦形曲線、多圓弧曲線作為緩和曲線的。但世界各國使用回旋曲線居多,我國《標準》規定的緩和曲線也是回旋線。

公式:A2=R·L
公式中R:圓曲線半徑 L:緩和曲線長度
2.3.5緩和曲線的最小長度

2.3.6超高緩和曲線長度計算
依據規范分析超高緩和段計算視車道數按公式

如果是三車道,為雙車道公路緩和段長的1.2倍;
如果是四車道,為雙車道公路緩和段長的1.5倍。
如果是六車道,為雙車道公路緩和段長的2.0倍。
2.3.7回旋曲線參數
ls太短,

ls過長,







設計中,回旋曲線所需的最小長度和超高所需的長度都必須滿足,如視覺所需又不增加過多的工程量可單用按視覺需要的回旋曲線長度。如下表所示:

公路平面線形設計是公路設計、施工的主線,它貫穿整個工程的始終,如果公路平面線形設計不理想或者留有安全隱患,在施工、運營過程中都是無法彌補的。平面線設計過程中需謹慎、合理、靈活確定各個曲線要素的長度以及各個要素之間的關系。2004年9月,全國公路勘察設計工作會議中提出了“六個堅持、六個樹立”的勘察設計新理念,是新時期公路勘察設計工作的理論核心,也是“堅持以人為本,樹立全面協調、可持續的科學發展觀”在公路設計和建設中的具體體現。其核心是僅僅圍繞科學發展觀的要求,通過靈活采用靈活設計和創造設計,實現“安全、環境優美、節約資源、系統最優”的目標。
1.人民交通出版社出版的《新理念公路設計指南》
3.中華人民共和國交通運輸部發布《公路路線設計細則》
更多相關信息 還可關注中鐵城際公眾號矩陣 掃一掃下方二維碼即可關注
文章推薦
- “全域土地綜合整治”的5個建設內容和6個整治模式
- 上海:《關于深入開展全市域土地綜合整治 助推郊野空間提質增效的實施意見》解讀
- 陽泉市規劃和自然資源局召開全域土地綜合整治工作專題會
- 工業園區“定制化”供水:中鐵城際智慧水務系統如何匹配高純度用水需求?
- 農村供水“最后一公里”破局:中鐵城際供水智慧系統如何解決分散站點運維難題?
- AI+物聯網:中鐵城際智慧供水系統如何從“被動搶修”轉向“主動防御”?
- 市政道路設計流程與技巧:新手快速上手的6個核心步驟
- 市政道路設計關鍵要點:從線形規劃到管線綜合的避坑指南
- 2025市政道路設計最新規范與全流程解析
- 自然資源部:推進全域土地綜合整治 已經累計整治超1000萬畝